まず第一に、それを明確にしましょうルテインルテインエステルは2つの異なるものですが、完全に異なるわけではありません。これは単なる帰属の問題です。天然植物におけるルテインの主な形態はルテインエステルである。それでは、ルテインエステルとルテインエステルの違いは何ですか?

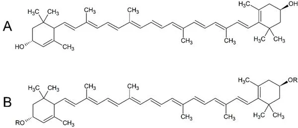
(A:ルテイン、B:ルテインエステル)
1. プロパティ
ルテインは植物ルテインであり、非常に強力な抗酸化物質です。
ルテインエステルの主成分はルテインジパルミテートであり、これはオールトランス分子配置で存在する。それはカロテノイドと脂肪酸です。
2. 吸収方法
ルテインは主に毎日の食事から得られ、人体によって腸に直接吸収することができます。
しかし、ルテインエステルは人体に入り、最初に分解され、次にルテインに変換され、次に人体に吸収される。
3. 安定性
貯蔵と消費の過程で、ルテインの利用率は光、熱、PH値の変化によって大幅に低下します。その光および熱安定性はルテインエステルほど良くない。ルテインエステルは、その分子配置のために貯蔵および消費においてより安定である。するとルテインの利用率も低い。
4. 機能
ルテインはアンチエイジング効果があります。それは心血管硬化症および他の疾患に抵抗することができる。ルテインはまた、より多くのカロテノイドを含んでいるので、それはまた、眼の保護の効果を持っています。ルテインはルテインエステルと等しくない。ルテインエステルは、吸収される前にルテインに消化される必要があり、ルテインを直接吸収することができる。一般的に言って、ルテインの市場価格はルテインエステルの市場価格よりも高い。
5. 耐酸性
ルテインは耐酸性が悪く、直接摂取後に胃酸によって溶解されやすく、ヒトの吸収に影響を与えます。
ルテインエステルの消費と損失は、食べた後に胃を通過するときに非常に低く、人体の吸収に影響を与えません。
どちらが良いですか?
現時点ではどの形式が優れているかはまだ決定的ではありません。研究は、服用後にそれを示していますルテインルテインエステルを3ヶ月間連続して行うか、眼黄斑色素濃度と血中ルテイン濃度に有意差はない。しかしながら、同じ血中ルテイン濃度を達成するために、摂取されるのに必要なルテインエステル用量は、ルテイン用量よりも大きい。





